• Фото 5
  • Фото 6
  • Фото 7
Товар в наличии

Цена за шт
58153 грн

Количество:
Артикул
TR7776453
Производитель
Dongyin


Описание продукта:

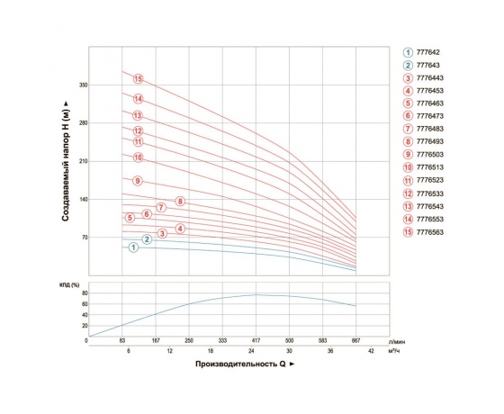
Насос центробежный скважинный 380В 7.5кВт H 104(58)м Q 665(500)л/мин Ø151мм AQUATICA (DONGYIN) (7776453)

Насосы данной серии предназначены для перекачивания чистой воды и могут применяться: для бытового и индустриального использования при водоснабжении из скважин и резервуаров (обязательная установка кожуха охлаждения), для перекачивания воды в резервуары, для оросительных систем, для автоматической подачи воды совместно с небольшими резервуарами при использовании управляющей автоматики (управляющие реле, контроллеры давления).

Насосная часть:

  • Корпус насосной части: нержавеющая сталь AISI 304;
  • Выходной фланец: чугун с антикоррозийным покрытием;
  • Вал насосной части: нержавеющая сталь AISI 304;
  • Муфта вала: нержавеющая сталь AISI 304;
  • Рабочее колесо: технополимер;
  • Шайба фасонная разделительная: технополимер;
  • Диффузор: технополимер.

Электродвигатель:

  • Тип двигателя: асинхронный, маслонаполненный, со встроенной в обмотку термозащитой;
  • Обмотка статора: медь;
  • Корпус электродвигателя: нержавеющая сталь AISI 304;
  • Вал двигателя: нержавеющая сталь;
  • Механическое уплотнение: керамика/графит;
  • Подшипник: качения (C&U);
  • Напряжение: 380 В;
  • Частота: 50 Гц;
  • Класс изоляции: F;
  • Класс защиты: IP68;
  • Длина кабеля: 3 м.

Условия применения:

  • Максимальная температура перекачиваемой жидкости: +35ºС;
  • Глубина погружения под зеркало воды: до 80 м;
  • Диаметр скважины: от 160 до 250 мм;
  • Содержание абразивосодержащих примесей во взвешенном состоянии (песка, глины, извести и т.д.): не более 0.25%;
  • Водородный показатель воды (рН): 6.5-8.5;
  • Общая минерализация воды: не более 1500 г/м3;
  • Срок гарантийного обслуживания: 24 месяцев.

Купить насос центробежный скважинный DONGYIN Вы можете, оформив заказ в нашем интернет-магазине с помощью простой формы, доставка осуществляется по всей Украине. Если у Вас возникли вопросы, Вы можете позвонить по указанным номерам телефонов или заказать обратный звонок. Специалисты нашего интернет-магазина предоставят Вам подробные консультации и помогут сделать правильный выбор.

Характеристики продукта:
Довжина, мм: 1431
Материал корпуса: Нержавеющая сталь AISI 304
Довжина кабелю, м: 3
Класс изоляции: F
Производительность max, л/мин: 665
Час безперервної роботи, год: S1
Класс защиты: IP68
Матеріал корпусу: Нержавіюча сталь AISI 304
Минимальная партия заказа, шт: 1
Длина кабеля, м: 3
Перекачиваемая жидкость: Содержание абразивосодержащих примесей (песка, глины, извести и т.д.): не более 0.25%
Максимальна температура перекачуваної рідини, °C: 35
Напір min, м: 27
Діаметр свердловини, мм: від 160 до 250
Длина, мм: 1431
Номінальний напір, м: 58
Кількість фаз: Трифазний
Продуктивність min, л/хв: 200
Потужність двигуна приводу, к.с.: 10.0
Масса, кг: 65
Номінальна продуктивність, л/хв: 500
Механічне ущільнення: Кераміка/графіт
Диаметр скважины, мм: от 160 до 250
Время беспрерывной работы, ч: S1
Максимальная температура перекачиваемой жидкости, °C: 35
Діаметр твердих частинок в підвішеному стані, мм: 0.2
Напор min, м: 27
Діаметр, мм: 151
Количество фаз: Трехфазный
Вал двигуна: Нержавіюча сталь AISI 304
Номинальный напор, м: 58
Максимальна глибина занурення під дзеркало води, м: до 80
Мощность двигателя привода, л.с.: 10.0
Потужність, Вт: 7500
Обмотка статора двигуна: Мідь
Диаметр твердых частиц во взвешенном состоянии, мм: 0.2
Механическое уплотнение: Керамика/графит
Торгова марка: Dongyin
Напруга, В: 3 ~380
Мощность, Вт: 7500
Напір max, м: 104
Производительность min, л/мин: 200
Максимальний діаметр свердловини, мм: 250
Максимальная глубина погружения под зеркало воды, м: до 80
Особенности: Укомплектован пультом управления
Робоче колесо: Технополимер
Напряжение, В: 3 ~380
Продуктивність max, л/хв: 665
Номинальная производительность, л/мин: 500
Маса, кг: 65
Базова одиниця: шт
Артикул: TR7776453
Тип двигуна: Асинхронний, маслонаповнений, з вбудованим в обмотку термозахистом
Частота, Гц: 50
Особливості: Укомплектований пультом управління
Вал двигателя: Нержавеющая сталь AISI 304
Максимальный диаметр скважины, мм: 250
Мінімальна партія замовлення, шт: 1
Клас ізоляції: F
Рабочее колесо: Технополимер
Обмотка статора двигателя: Медь
Диаметр, мм: 151
Офіційна гарантія: Від виробника
Официальная гарантия: От производителя
Клас захисту: IP68
Тип двигателя: Асинхронный, маслонаполненный, со встроенной в обмотку термозащитой
Напор max, м: 104
Производитель Dongyin