• Фото 5
  • Фото 6
  • Фото 7
Нет в наличии

Цена за шт
30506 грн

Артикул
7771783
Производитель
Dongyin


Описание продукта:

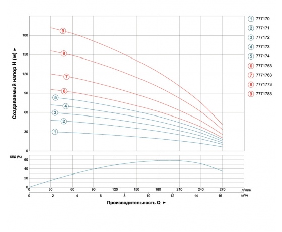
Насос центробежный скважинный 380В 7.5кВт H 201(110)м Q 270(200)л/мин Ø102мм AQUATICA (DONGYIN) (7771783)

Насосы данной серии предназначены для перекачивания чистой воды и могут применяться: для бытового использования при водоснабжении из скважин и резервуаров (обязательная установка кожуха охлаждения), для перекачивания воды в резервуары, для оросительных систем, для автоматической подачи воды совместно с небольшими резервуарами при использовании управляющей автоматики (управляющие реле, контроллеры давления).

Насосная часть:

  • Корпус насосной части: нержавеющая сталь AISI 304;
  • Выходной фланец: латунь;
  • Вал насосной части: нержавеющая сталь AISI 304;
  • Муфта вала: нержавеющая сталь AISI 304;
  • Рабочее колесо: технополимер;
  • Шайба фасонная разделительная: технополимер;
  • Диффузор: технополимер.

Электродвигатель:

  • Тип двигателя: асинхронный, маслонаполненный, со встроенной в обмотку термозащитой;
  • Обмотка статора: медь;
  • Корпус электродвигателя: нержавеющая сталь AISI 304;
  • Вал двигателя: нержавеющая сталь;
  • Механическое уплотнение: керамика/графит;
  • Подшипник: качения (C&U);
  • Напряжение: 380 В;
  • Частота: 50 Гц;
  • Класс изоляции: F;
  • Класс защиты: IP68;
  • Длина кабеля: 3.5 м.

Условия применения:

  • Максимальная температура перекачиваемой жидкости: +35ºС;
  • Глубина погружения под зеркало воды: до 60 м;
  • Диаметр скважины: от 120 до 150 мм;
  • Содержание абразивосодержащих примесей во взвешенном состоянии (песка, глины, извести и т.д.): не более 0.25%;
  • Водородный показатель воды (рН): 6.5-8.5;
  • Общая минерализация воды: не более 1500 г/м3;
  • Срок гарантийного обслуживания: 24 месяцев.

Купить насос центробежный скважинный DONGYIN Вы можете, оформив заказ в нашем интернет-магазине с помощью простой формы, доставка осуществляется по всей Украине. Если у Вас возникли вопросы, Вы можете позвонить по указанным номерам телефонов или заказать обратный звонок. Специалисты нашего интернет-магазина предоставят Вам подробные консультации и помогут сделать правильный выбор.

Характеристики продукта:
Официальная гарантия: От производителя
Тип двигателя: Асинхронный, маслонаполненный, со встроенной в обмотку термозащитой
Напор max, м: 157
Материал корпуса: Нержавеющая сталь AISI 304
Класс изоляции: F
Производительность max, л/мин: 240
Класс защиты: IP68
Минимальная партия заказа, шт: 1
Длина кабеля, м: 3.5
Перекачиваемая жидкость: Содержание абразивосодержащих примесей (песка, глины, извести и т.д.): не более 0.25%
Длина, мм: 3020
Диаметр скважины, мм: от 120 до 150
Время беспрерывной работы, ч: S1
Масса, кг: 41.8
Ширина, мм: 102 мм
Количество фаз: Трехфазный
Максимальная температура перекачиваемой жидкости, °C: 35
Напор min, м: 75
Мощность двигателя привода, л.с.: 10.0
Номинальный напор, м: 110
Механическое уплотнение: Керамика/графит
Диаметр твердых частиц во взвешенном состоянии, мм: 0.2
Максимальная глубина погружения под зеркало воды, м: до 60
Мощность, Вт: 7500
Производительность min, л/мин: 120
Особенности: Укомплектован пультом управления
Напряжение, В: 3 ~380
Номинальная производительность, л/мин: 200
Максимальный диаметр скважины, мм: 150
Артикул: 7771783
Частота, Гц: 50
Вал двигателя: Нержавеющая сталь AISI 304
Диаметр, мм: 102
Рабочее колесо: Технополимер
Обмотка статора двигателя: Медь
Производитель Dongyin